按千次展现计费千次展现价格 CVR Click Value Rate. DAUDaily Active User日活跃用户数量常用于反映网站互联网应用或网络游戏的运营情况 MAUmonthly active users月活跃用户人数是在线游戏的一个用户数量统计名词数量越大意味着玩这款游戏的人越多.

信息流广告投放如何做数据分析 楠木轩
Tagtoo 照片 Facebook

Lazada大学 电商原理 电商算法公式 优化方向 连连国际官网
工事をされる際は ガス管損傷事故防止の お願い 破損事故について防止対策の強化を図っております.
Ctr 平均 公式. 按点击计费平均点击价格 CPA Cost Per Action. 3其他术语 CtrClick- Through Rate点击率 CVRclick value rate指广告的转化率 消耗即成本比如cpa模式下1000元得到100个用户成本即是10 ROIReturn on investment指投入产出比即一定周期内广告主通过广告投放收回的价值占广告投入的百分比数值大于1为盈利. CTR 基本用法 编辑 语音.
CPC Cost Per Click. 约等于最近的 天的平均温度值为啥是 后面再讲 代表的是第t天的温度值. リデルのプレスリリース2021年10月18日 16時11分 無料 ctr 180上昇現役インフルエンサーが語る効果的なsns広告クリエイティブ制作の考え方.
应用场景点击预估 准确的估计 ctr cvr 对于提高流量的价值增加广告收入有重要的指导作用业界常用的方法有人工特征工程 LRLogistic RegressionGBDTGradient Boosting Decision Tree. 转载请注明学时网 什么是cpacpccpmcvrctrpvuvgmv定义以及相关计算公式 喜欢 585 or 分享 0 alternatives命令用法 CPU 超线程多核. CTR Click Through Rate.
CPM Cost Per Mille.

如何判定你的亞馬遜ppc廣告好壞 除了acos你還要知道這些 每日頭條

Cpc Cpm Ctr是什麼 廣告術語總整理
直通车ctr分享 纯干货 旗舰店 Ctr提升4倍 Ppc降低42 的攻略 优秀转载 网络推广方案 网站推广方法 网络策划营销

点击率 Ctr 了解ppc的点击率
阿里巴巴国际站之四步提升点击率 产品

什么是点击率 重要的9 个原因和改进它的8 种方法 Affde营销

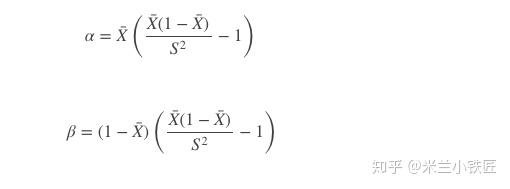
最原始的排序优化之ctr贝叶斯平滑 知乎
千万不能忽略的广告指标 链接点击率 Ctr 深诺营销学院 Sinoclick飞书逸途 成长型企业出海营销一站式解决方案